Origen de las causas según Nelly Zavaleta.

Una de las causas de el bajo desarrollo cognitivo es la anemia, pero existen diversos tipos de anemia que lo causan. Nos enfocaremos a la anemia ferropénica debido al alto porcentaje en niños y porque este tipo de anemia se da con mayor frecuencia en la etapa donde el niño empieza el desarrollo neuronal.

Social

Estatus social

La anemia es un problema generalizado, tanto en las áreas urbana y rural, y también atraviesa todos los estratos socioeconómicos. Afecta a un 53.8% de niños de 6 a 35 meses de hogares de quintiles socioeconómicos más bajos y también a un 28.4% del quintil superior (MINSA 2017) como se puede apreciar en el cuadro 1.

Además, según ENDES, el porcentaje de anemia fue mayor en niñas y niños que pertenecen al quintil inferior de riqueza (45,8%), seguido de quienes consumieron agua hervida proveniente de otra fuente distinta a red pública (45,0%) y/o que consumieron agua sin tratamiento (44,6%) y niñas y niños con intervalo de nacimiento de 24 a 47 meses (42,2%). Es decir, no necesariamente un niño o niño o niña que pertenece al quintil alto tendrá una menor prevalencia de anemia. También, las más bajas proporciones de consumo de micronutrientes fueron en niños entre seis y ocho meses (63.8%) y con madres sin nivel de educación (87.9%) pertenecientes al quinto quintil inferior (INEI 2014). A partir de esto último se podría decir que existe una relación causa-efecto con la alta prevalencia de anemia.

Cultural

Formas de pensar

El Perú es reconocido a nivel mundial por su mega diversidad y pluriculturalidad; sin embargo, también es de conocimiento la existencia de las significativas brechas de inequidad, principalmente entre los habitantes de zonas rurales y los de la ciudad. Además, existe gran desinformación por parte de los pobladores de las zonas rurales, lo cual conlleva a la presencia de enfermedades como la anemia y con altos índices de prevalencia.

En el 2016, la prevalencia de anemia en menores de tres años, en el área rural fue del 56,0% de 51,7% en la selva y de 44,6% en la región Amazonas (INEI, 2016). De acuerdo con un estudio desarrollado en la provincia de Condorcanqui-Amazonas se determinó que la prevalencia de anemia en poblaciones indígenas en el 2012 fue de 51.3%, mientras que en poblaciones no indígenas fue de 40.9%. Lo cual nos muestra una marcada diferencia, pues el primer caso se caracteriza por el desconocimiento del valor nutricional de los alimentos y la escasa participación social y ciudadana que limitan el acceso a una buena nutrición de sus niños(Díaz , Arana, Vargas-Machuca R, Antiporta , 2015).

En base a un estudio realizado entre junio y agosto del 2015, en los distritos de Río Santiago, Cenepa y Nieva (región Amazonas, Perú), donde se encuentran las comunidades Awajún y Wampis; a modo de entrevistas, se concluyó que la anemia no tiene una definición clara para las madres. Sin embargo, tienen conocimiento de un mal denominado Putsumat, cuyos signos y síntomas se asemejan con los de la anemia(Mayca-Pére, Medina-Ibañez, Velásquez-Hurtado, Llanos- Zavalaga, 2017). Los cuales se resumen en el siguiente cuadro:

En este cuadro se resalta la característica de barrigoncito, connotada por los habitantes de las comunidades, pues se podría relacionar con parasitosis.

En cuanto al tratamiento, las madres reciben los multimicronutrientes (MMN), pero no se los brindan a sus hijos, pues se han dado cuenta de que si lo mezclan con alcohol, pueden formar goma y que también tienen la capacidad de matar hormigas. Además, consideran que los MMN, chispitas, no pueden curar a sus hijos, puesto que son de color blanco; mientras que el Tuyuc, planta nativa, presenta un color rojizo, lo cual lo relacionan con el color de la sangre.

Madre awajùn muestra la planta Tuyuc, usada para curar el putsumat, mientras su niño muestra una caja de MMN aún sin consumir.

Geográfico

Maneras de vivir

En Loreto padecen desnutrición crónica el 32.3% de niños menores de 5 años y anemia el 49.5% de niños y niñas cuyas edades van de 6 a 59 meses. El buen estado nutricional de los niños es producto de diversos factores. Entre ellos, el hecho que durante el embarazo la madre haya estado en buenas condiciones físicas y que se privilegie la lactancia materna exclusiva desde la primera hora del nacimiento hasta los seis meses de edad.

Como se sabe, durante la gestación hay gran riesgo de padecer de anemia por deficiencia de hierro. De acuerdo a ENDES 2012 el 86.7% de las mujeres loretanas que estuvieron embarazadas en los cinco años previos al estudio, recibieron pastillas o jarabe de hierro durante el embarazo. El mismo estudio señala que el 99.2% de los niños nacidos en el quinquenio precedente lactó alguna vez, pero sólo el 76% lo hizo antes de cumplir la primera hora de nacido, y el 19% recibió algún alimento antes de empezar a lactar. ENDES 2012 también indica que la lactancia materna exclusiva en la región alcanza en promedio poco más de los cuatro meses y medio (4.6). Las deficientes condiciones sanitarias contribuyen a que los niños sufran de parasitosis, lo que perjudica su estado nutricional. En Loreto el 30% de las viviendas carecen de electricidad; sólo el 29% se abastece de agua de la red pública y el 25.9% no tiene ningún tipo de servicio sanitario con desagüe. (Centro de Prensa Unicef en el Perú, 2012)

Actualmente, a través de la Encuesta Nacional de Hogares (ENAHO) realizada por el INEI a nivel nacional en el 2016, se estimó que el 86,1% de la población nacional accedía a agua por red pública, (67,1% agua potable y el 19,0% agua no potable) y el 13,9% consumían agua no potable proveniente de río, manantial, lluvia, camión, cisterna o pilón de uso público. En el área urbana por cada 100 personas 93 tienen agua que proveniente de red pública, en el área rural solo 60 personas de cada 100. Los departamentos con menor acceso fueron Ucayali, Pasco, Puno y Loreto. El 16,3% de la población del país no tiene acceso a agua de la red pública. En Loreto este déficit llega al 51,8% y en Pasco, Ucayali y Puno más de una tercera parte de su población carece de este servicio. (Encuesta Nacional de Programas Presupuestales 2011-2016)

Sobre la parasitosis, la principal y más grave consecuencia, que inclusive puede llegar a ser mortal, es la anemia. Un niño infectado con parásitos y que no recibe un adecuado tratamiento es un niño que presentará cuadros de anemia. Así lo explicó el médico pediatra y secretario del Interior del Colegio Médico del Perú, Raúl Urquizo Aréstegui en una entrevista con Perú21:

"Un niño que tiene parásitos es un niño que presentará anemia, porque estas lombrices, como solemos llamarlas, le impide al organismo absorber las vitaminas y nutrientes de los alimentos", refirió el especialista (Entrevista con Perú21, 2017).

Neuro-transmisores

Proceso Biológico

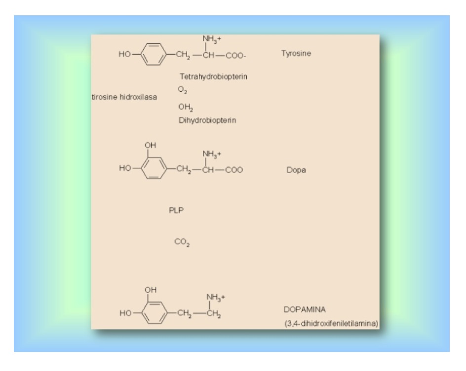
Vamos a explicar a nivel biológico cómo la anemia ferropénica afecta al desarrollo cognitivo del infante. Para ello se explicará el proceso de obtención de los dos neurotransmisores que se involucran en el área de aprendizaje y maduración del cerebro, las cuales son la dopamina y la serotonina.

Dopamina: El proceso de la síntesis empieza con la producción del aminoácido fenilalanina mediante la dieta; luego, mediante la metabolización, esta produce el aminoácido L-tirosina; luego, esta se convierte a dihidroxifenilalanina (DOPA) por la acción de la Tirosina hidroxilasa, Oxígeno gaseoso (O2) y hierro ferroso(Fe+2). Finalmente, el sustrato L-Dopa descarboxilasa produce la dopamina.

Serotonina: Este proceso empieza con la producción del aminoácido Triptófano (Trp) a partir de las proteínas de la dieta dada; luego este aminoácido, junto con el Oxígeno gaseoso (O2) y el Hierro ferroso(Fe+2), produce el 5-Hidroxitriptófano (5-HTP) , y finalmente, este aminoácido junto con la vitamina B6 produce el neurotransmisor serotonina.

Notamos que en las síntesis de estos dos neurotransmisores el papel que cumple el hierro ferroso (Fe+2) es vital; por lo cual, si no hay una cantidad adecuada de hierro en el organismo no habrá una producción adecuada de dopamina ( Aprendizaje de niño) y de serotonina( Maduración del cerebro).

Cambio de perspectiva

Como se puede analizar existen diferentes factores que producen anemia los cuales van desde falta de agua potable hasta desconfianza hacia los suplementos de hierro. Todos ellos convergen en el bajo desarrollo cognitivo, el cual es nuestro efecto prioritario. Pero, las causas analizadas se enfocan en efectos producidos por la anemia luego del parto y no durante la neurogénesis. Para ello se analizará el porcentaje de gestantes anemicas y si influye esta condición en la formación del cerebro.

Fuente: INEI

Como se puede analizar, el procentaje de gestantes con anemia es elevado al igual que el porcentaje de gestantes adolecentes con anemia. Por ende es necesario analizar si esta enfermedad afecta directamente al desarrollo del cerebro durante el proceso de embarazo.

El desarrollo cerebral normal depende de un período de gestación adecuado y de la disponibilidad de oxígeno, proteínas, energía y micronutrientes, así como la estimulación sensorial y la actividad e interacción social luego del nacimiento del niño. La privación de algunas de las condiciones antes mencionadas, o la exposición a tóxicos como el alcohol, el tabaco, infecciones prenatales o alteraciones metabólicas, pueden ocasionar trastornos en el normal desarrollo del encéfalo. La extensión del daño depende mucho del momento en que ocurre la agresión al sistema nervioso y el tiempo en que dicho proceso esté afectando al organismo en crecimiento y desarrollo (Garófalo, Gómez, Vargas y Novoa, 2009)

Además, la desnutrición materna durante el embarazo, medida a través del bajo peso materno para la talla y además por la poca ganancia de peso durante el embarazo, han sido estrechamente vinculadas con pobres resultados al nacimiento. Los niños nacidos en estas condiciones suelen presentar bajo peso al nacer, una circunferencia cefálica pequeña y menor peso cerebral, comparado con los niños nacidos a término sanos. Estos niños suelen tener retardos cognitivos posteriores. La lactancia materna exclusiva desempeña una función vital en todos los niños, más en estos niños con problemas nutricionales prenatales, quienes suelen beneficiarse mucho de la lactancia materna y pueden en gran medida recuperar las funciones normales cerebrales. Importantes nutrientes, como los ácidos grasos, se encuentran solo en la leche materna, y desempeñan un papel clave en la recuperación y desarrollo cerebral normal.

Investigaciones realizadas en niños prematuros, han demostrado que aquellos que recibieron lactancia materna exclusiva, presentaron índices de coeficiente de inteligencia ocho puntos superiores a aquellos prematuros alimentados con fórmulas infantiles. Los niños que sufren grave desnutrición proteica energética (DPE) pueden presentar disminución del crecimiento cerebral y de la producción de neurotransmisores. Además, se afecta el proceso de mielinización nerviosa, lo cual provoca una disminución de la velocidad de conducción nerviosa. Las células más afectadas son las neuronas y las células productoras de mielina. Se puede producir degeneración axonal además de la desmielinización.

La neurogénesis alcanza su pico en las 14 semanas de gestación y a las 25 semanas prácticamente ha completado su proceso, cuando está presente el número total de neuronas adultas. Descubrimientos recientes en mamíferos apuntan a que existe un período limitado de vulnerabilidad a la malnutrición. Durante dicho período el daño cerebral inducido por la malnutrición puede tener un efecto limitante del potencial de neurodesarrollo.

Los siguientes nutrientes son requeridos en este proceso:

Grasas y ácidos grasos escenciales, de no ser aportados generan decifit de atención por hiperactividad.

Ácido fólico, vitaminas B6, B12 y E, de no ser aportados generan cierre del tubo neural y síndrome de Down.

Hierro, no ser aportados generan retardo del neurodesarrollo, deficiencias inmunológicas, disminución de la fuerza muscular y de la capacidad para la realización de tareas motrices

Yodo, no ser aportados generan retraso mental y daño cerebral.

Zinc, de no ser aportado retardo del desarrollo físico y psicomotor y al aumento de la morbilidad de enfermedades infecciosas durante la infancia.

Vitamina A, puede condicionar la aparición de hidrocefalia, retardo mental, trastornos en el neurodesarrollo, así como alteraciones en el metabolismo cerebral.

Vitamina B1, de no ser aportados produce retardo psicomotor, alteraciones del equilibrio y de la marcha, así como problemas del comportamiento y psicológicos.

Vitamina C, repercute en el metabolismo del ácido fólico.

Vitamina D, déficit durante la etapa prenatal incrementa la vulnerabilidad para la aparición de psicosis esquizofrénica en etapas ulteriores del desarrollo fundamentalmente en la adolescencia y juventud, y es más significativo este efecto en sujetos de la raza negra.

Acotación

En resumen: El desarrollo psicomotor y cognitivo del infante de 6 a 36 meses depende de cómo sus neuronas se han desarrollado en los primeros meses de embarazo de la mujer ( hasta las 25 semanas dónde prácticamente ha completado su proceso y tiene el número total de neuronas adultas), ya que en estos meses la neurogénesis alcanza su pico máximo y el fin de su proceso. Por tanto, si la madre gestante no ha tenido una dieta adecuada desde el inicio de su embarazo, el proceso de la neurogénesis del niño se verá afectada, y por este motivo, consideramos que el estado nutricional antes y durante el embarazo es nuestro problema principal del bajo desarrollo psicomotor y cognitivo de los niños.

Estado de Arte

Soluciones Actuales

Referencias:

Instituto Nacional de Estadística e Informática. (2014). Encuesta Demográfica y de Salud Familiar – ENDES. Recuperado de: https://www.inei.gob.pe/media/MenuRecursivo/publicaciones_digitales/Est/Lib1211/pdf/Libro.pdf

Ministerio de Salud. (2017). Plan Nacional para la REDUCCION Y CONTROL DE LA ANEMIA Materno Infantil y la Desnutrición Crónica Infantil en el Perú (1era edición). Recuperado de: http://bvs.minsa.gob.pe/local/MINSA/4189.pdf

Instituto Nacional de Estadística e Informática (INEI). Perú: Encuesta Demográfica y de Salud Familiar 2016, Nacional y Regional [Internet]. Lima: INEI; 2017 [citado el 15 de mayo 2017]. Disponible en: https://www.inei.gob.pe/ media/MenuRecursivo/publicaciones_ digitales/Est/Lib1433/index.html

Díaz A, Arana A, Vargas-Machuca R, Antiporta D. Situación de salud y nutrición de niños indígenas y niños no indígenas de la Amazonia peruana. Rev Panam Salud Publica. 2015;38(1):49–56

Mayca-Pére, J., & Medina-Ibañez, A., & Velásquez-Hurtado, J., & Llanos- Zavalaga, L. (2017)

Representaciones sociales relacionadas a la anemia en niños menores de tres años en comunidades Awajus y Wampis, Perú. Revista Peruana de Medicina Experimental y Salud Pública, 34(3), 414-422.

Carpetas informativas, Loreto, Centro de Prensa Unicef en el Perú, 2012 https://www.unicef.org/peru/spanish/media_26570.htm

Encuesta Nacional de Programas Presupuestales 2011-2016. INEI Perú. http://www.inei.gob.pe/media/MenuRecursivo/publicaciones_digitales/Est/Lib1442/libro.pdf

El 50% de los niños del Perú tiene parásitos, sobre todo en la selva 22 de febrero del 2017 Entrevista con Perú21 https://peru21.pe/vida/50-ninos-peru-parasitos-selva-66880

Garófalo Gómez, Nicolás, et al. 2009 "Repercusión de la nutrición en el neurodesarrollo y la salud neuropsiquiátrica de niños y adolescentes." Revista Cubana de Pediatría.